תזונה ים תיכונית, פעילות גופנית והרכב גוף
מפגש הג’ורנל קלאב ה-43 של ארגון רופאים לתזונה התמקד במחקר קליני גדול שבדק השפעה של תזונה ים תיכונית ופעילות גופנית על הרכב גוף במבוגרים עם עודף משקל או השמנה.
הציג את המאמר ד"ר דן ליבון, מומחה ברפואת משפחה. עוסק ברפואה אינטגרטיבית וברפואה סינית. חבר הוראה בדרגת מדריך קליני בכיר, אוניברסיטת תל אביב. רוצה לקבל עדכון על המפגש הבא? נא להירשם כאן.
רקע
שינויים בהרכב הגוף בגיל המבוגר
עלייה בצבירת שומן בטני (שומן ויסצרלי – Visceral fat) ואובדן מסת שריר הם מאפיינים של שינוי הרכב גוף בגיל המבוגר והם קשורים בעלייה בסיכון לסוכרת ולמחלות לב. בעוד שבמקרים רבים המיקוד במחקרים הוא על ירידה במשקל כאמצעי לשיפור סיכון לתחלואה, יש חשיבות להעריך שינויים בהרכב הגוף – הן במסת השומן והן במסת השריר.
תזונה ים תיכונית מוגבלת קלורית בשילוב עם פעילות גופנית
תזונה ים תיכונית מתאפיינת בצריכה גבוהה של מזונות מלאים מן הצומח כגון קטניות, דגנים מלאים, ירקות, פירות ושמן זית והגבלה בצריכת מזון מהחי ומזון מעובד. תזונה ים תיכונית, ובעיקר תזונה ים תיכונית מוגבלת קלורית, נמצאה יעילה בירידה במשקל ובשימור התוצאות לאורך זמן. לביצוע פעילות גופנית יש השפעה חיובית על מסת השריר והשומן הבטני. שילוב בין תזונה ים תיכונית מוגבלת קלורית עם ביצוע פעילות גופנית סדירה עשוי לספק תוצאות אף טובות יותר מאשר כל אחד מהמרכיבים בנפרד.
מה עשו במחקר
מחקר התערבות מבוקר, חד סמיות, שנלקח מתוך מחקר ספרדי, רב מרכזי גדול בשם PREDIMED-Plus.
המחקר כלל 1521 משתתפים בגיל 65 בממוצע, לכל הנבדקים היה עודף משקל או השמנה (BMI-27-40) ותסמונת מטבולית, ללא היסטוריה של מחלות לב.
המחקר צפוי להמשך 8 שנים. והתוצאות שמוצגות כאן הם מתוך אנליזת ביניים לאחר שלוש שנות התערבות.
המשתתפים הוקצו באופן אקראי לאחת משתי קבוצות:
- קבוצת התערבות – דיאטה ים תיכונית מופחתת קלוריות (הפחתה של 30% בצריכת אנרגיה לכל משתתף), המלצות לביצוע פעילות גופנית (לפחות 45 דקות הליכה 6 ימים בשבוע, כולל אימוני כוח ושיווי משקל) וקבלת תמיכה התנהגותית ותזונתית אישית במפגשים ובשיחות עם תזונאי/ת בתדירות גבוהה.
- קבוצת ביקורת – הדרכה כללית לעקוב אחרי דיאטה ים תיכונית מסורתית, ללא הפחתה קלורית ולא קידום פעילות גופנית, הנחיות קבוצתיות כלליות ניתנו בשני מפגשים בשנה.
לכל הנבדקים במחקר (גם לקבוצת הביקורת) סופקו שמן זית ואגוזי מלך על ידי צוות המחקר.
מה בדקו
בתחילת המחקר, לאחר שנה ולאחר שלוש שנים ביצעו מדידות משקל והיקפים וכן מדידות של הרכב גוף באמצעות DEXA.
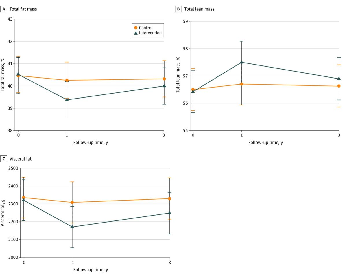
אנליזת הביניים התבצעה לאחר 3 שנות מעקב מתוך 8 השנים המתוכננות של המחקר, עם מדידות הרכב גוף באמצעות DEXA, משקל ומדידת היקפים בתחילת המחקר, לאחר שנה ולאחר 3 שנים. נבדקו שינויים במסת השומן, אחוז השומן, מסת שומן בטני, אחוז מסת גוף רזה.
אחת המטרות שלהם היתה לבחון לא רק את ההטבה המדדים לאחר חצי שנה, אלא האם הם מצליחים להתמיד בהטבה לאורך שנים.
מה מצאו
בקבוצת ההתערבות נצפתה ירידה משמעותית יותר בשומן הכולל ובשומן הבטני ועלייה יחסית באחוז השריר (כלומר מניעה של אובדן שריר האופייני לתהליכי ירידה במשקל והזדקנות), גם לאחר שנה וגם לאחר 3 שנים בהשוואה לקבוצת ביקורת. ההפרשה היה משמעותי יותר לאחר שנה אך נשמרה מובהקות גם לאחר 3 שנים.
בניתוח נוסף נמצא כי שיעור גבוה יותר ממשתתפי קבוצת ההתערבות השיגו שיפור קליני מובהק (לפחות 5% משיפור מערך הבסיס) במסת השומן, במסת השריר ובשומן הבטני, הן לאחר שנה והן לאחר שלוש שנים של מעקב.

לסיכום
התערבות משולבת של תזונה ים-תיכונית מופחתת קלוריות וקידום פעילות גופנית גרמה לירידה משמעותית בשומן הכולל ובשומן הבטני ולעיכוב איבוד המסה הרזה באוכלוסייה מבוגרת עם עודף משקל או השמנה ותסמונת מטבולית. המשך מעקב נדרש לבחינת ההשלכות הבריאותיות והקרדיווסקולריות ארוכות הטווח.
להעמקה נוספת מומלץ לצפות בהרצאה המלאה👆
תכנים נוספים שעשויים לעניין אותך




